Klieština
Oficiálne stránky obce
Toggle navigation
Naša obec
Samospráva
Aktuality
Kontakt
slovensky
SK
|
english
EN
A
A
Klieština
Oficiálne stránky obce
Fotogaléria
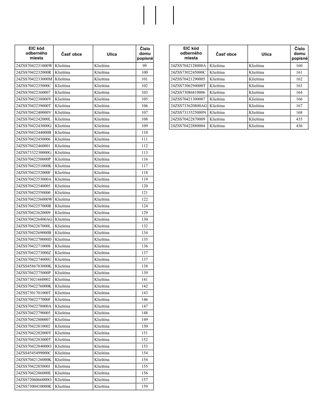
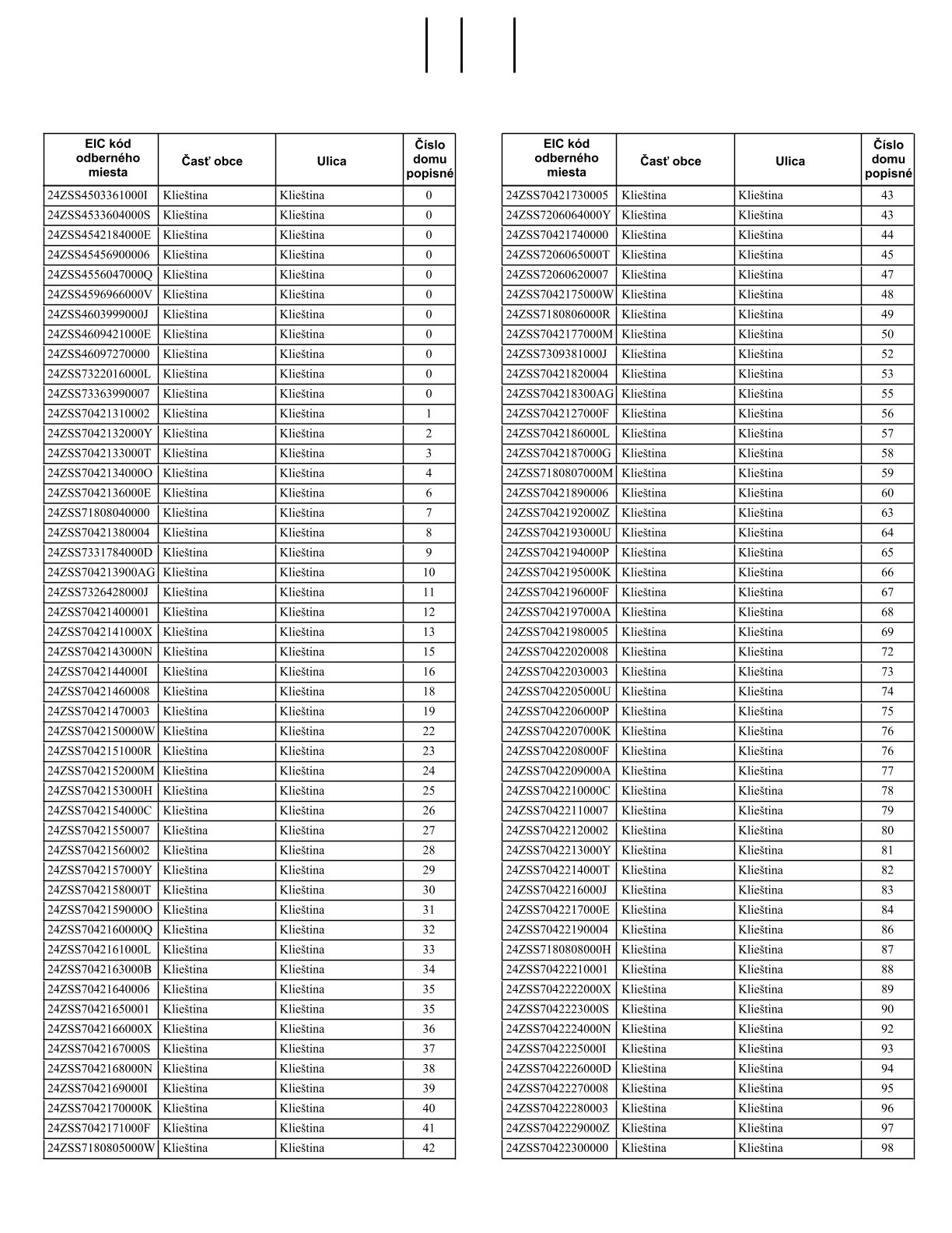
Prerušenie distribúcie elektriny
Prerušenie distribúcie elektriny
Zoznam fotogalérií:
Stavanie mája 30.04.2026
Detská Považská cykloliga 2026
Svätá omša a priateľské posedenie na Hviezde dňa 9.5.2026
Zmena vývozu komunálneho odpadu v obci rok 2026
Bezplatná právna pomoc v meste Trenčín dňa 22.4.2026
Kúpele Trenčianske Teplice 2026
Ochrana lesov pred požiarmi 2025
Prerušenie distribúcie elektriny
Stolnotenisový turnaj 2025
Mikuláš pre deti predškolského veku 2025
Vianočné posedenie so seniormi 2025
Presťahovanie ambulanciu MUDr. Dany Jurčíkovej do priestorov NsP Považská Bystrica
1
2
3
4
5
6
7
8
>
ePrivacy and GPDR Cookie Consent by
TermsFeed Generator